Training & Validation

Linear regression: Training and Validation Data
Objective
- How to use learning rate hyperparameter to improve your model result.
Table of Contents
In this lab, you will learn to select the best learning rate by using validation data.
- Make Some Data
- Create a Linear Regression Object, Data Loader and Criterion Function
- Different learning rates and Data Structures to Store results for Different Hyperparameters
- Train different modules for different Hyperparameters
- View Results
Estimated Time Needed: 30 min
Preparation
We'll need the following libraries and set the random seed.
# Import libraries we need for this lab, and set the random seed
from torch import nn
import torch
import numpy as np
import matplotlib.pyplot as plt
from torch import nn,optim
Make Some Data
First, we'll create some artificial data in a dataset class. The class will include the option to produce training data or validation data. The training data will include outliers.
# Create Data class
from torch.utils.data import Dataset, DataLoader
class Data(Dataset):
# Constructor
def __init__(self, train = True):
self.x = torch.arange(-3, 3, 0.1).view(-1, 1)
self.f = -3 * self.x + 1
self.y = self.f + 0.1 * torch.randn(self.x.size())
self.len = self.x.shape[0]
#outliers
if train == True:
self.y[0] = 0
self.y[50:55] = 20
else:
pass
# Getter
def __getitem__(self, index):
return self.x[index], self.y[index]
# Get Length
def __len__(self):
return self.len
Create two objects: one that contains training data and a second that contains validation data. Assume that the training data has the outliers.
Overlay the training points in red over the function that generated the data. Notice the outliers at x=-3 and around x=2:
# Plot out training points
plt.plot(train_data.x.numpy(), train_data.y.numpy(), 'xr',label="training data ")
plt.plot(train_data.x.numpy(), train_data.f.numpy(),label="true function ")
plt.xlabel('x')
plt.ylabel('y')
plt.legend()
plt.show()

Create a Linear Regression Object, Data Loader, and Criterion Function
# Create Linear Regression Class
from torch import nn
class linear_regression(nn.Module):
# Constructor
def __init__(self, input_size, output_size):
super(linear_regression, self).__init__()
self.linear = nn.Linear(input_size, output_size)
# Prediction function
def forward(self, x):
yhat = self.linear(x)
return yhat
Create the criterion function and a DataLoader object:
# Create MSELoss function and DataLoader
criterion = nn.MSELoss()
trainloader = DataLoader(dataset = train_data, batch_size = 1)
Different learning rates and Data Structures to Store results for different Hyperparameters
Create a list with different learning rates and a tensor (can be a list) for the training and validating cost/total loss. Include the list MODELS, which stores the training model for every value of the learning rate.
# Create Learning Rate list, the error lists and the MODELS list
learning_rates=[0.0001, 0.001, 0.01, 0.1]
train_error=torch.zeros(len(learning_rates))
validation_error=torch.zeros(len(learning_rates))
MODELS=[]
Train different models for different Hyperparameters
Try different values of learning rates, perform stochastic gradient descent, and save the results on the training data and validation data. Finally, save each model in a list.
# Define the train model function and train the model
def train_model_with_lr (iter, lr_list):
# iterate through different learning rates
for i, lr in enumerate(lr_list):
model = linear_regression(1, 1)
optimizer = optim.SGD(model.parameters(), lr = lr)
for epoch in range(iter):
for x, y in trainloader:
yhat = model(x)
loss = criterion(yhat, y)
optimizer.zero_grad()
loss.backward()
optimizer.step()
# train data
Yhat = model(train_data.x)
train_loss = criterion(Yhat, train_data.y)
train_error[i] = train_loss.item()
# validation data
Yhat = model(val_data.x)
val_loss = criterion(Yhat, val_data.y)
validation_error[i] = val_loss.item()
MODELS.append(model)
train_model_with_lr(10, learning_rates)
View the Results
Plot the training loss and validation loss for each learning rate:
# Plot the training loss and validation loss
plt.semilogx(np.array(learning_rates), train_error.numpy(), label = 'training loss/total Loss')
plt.semilogx(np.array(learning_rates), validation_error.numpy(), label = 'validation cost/total Loss')
plt.ylabel('Cost\ Total Loss')
plt.xlabel('learning rate')
plt.legend()
plt.show()
<>:5: SyntaxWarning: invalid escape sequence '\ '
<>:5: SyntaxWarning: invalid escape sequence '\ '
/tmp/ipykernel_80257/980418342.py:5: SyntaxWarning: invalid escape sequence '\ '
plt.ylabel('Cost\ Total Loss')

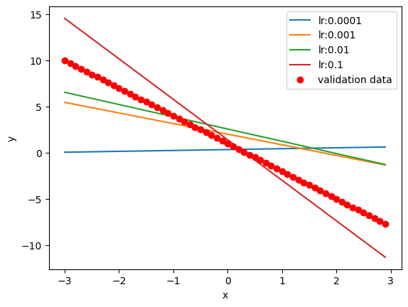
Produce a prediction by using the validation data for each model:
# Plot the predictions
i = 0
for model, learning_rate in zip(MODELS, learning_rates):
yhat = model(val_data.x)
plt.plot(val_data.x.numpy(), yhat.detach().numpy(), label = 'lr:' + str(learning_rate))
print('i', yhat.detach().numpy()[0:3])
plt.plot(val_data.x.numpy(), val_data.f.numpy(), 'or', label = 'validation data')
plt.xlabel('x')
plt.ylabel('y')
plt.legend()
plt.show()
i [[0.05840436]
[0.06799743]
[0.0775905 ]]
i [[5.4587383]
[5.343816 ]
[5.2288933]]
i [[6.5484743]
[6.4158573]
[6.28324 ]]
i [[14.55032 ]
[14.1119585]
[13.673596 ]]

Practice
The object good_model is the best performing model. Use the train loader to get the data samples x and y. Produce an estimate for yhat and print it out for every sample in a for a loop. Compare it to the actual prediction y.
Double-click here for the solution.
About the Author:
Hi, My name is Juma Shafara. Am a Data Scientist and Instructor at DATAIDEA. I have taught hundreds of peope Programming, Data Analysis and Machine Learning.
I also enjoy developing innovative algorithms and models that can drive insights and value.
I regularly share some content that I find useful throughout my learning/teaching journey to simplify concepts in Machine Learning, Mathematics, Programming, and related topics on my website jumashafara.dataidea.org.
Besides these technical stuff, I enjoy watching soccer, movies and reading mystery books.